Contoh Surat Persetujuan Waris

Pembuktian kesediaan tersebut dapat dilakukan dengan membuat surat kuasa persetujuan jaminan tanah oleh ahli waris berdasarkan persetujuan dan musyawarah bersama serta saksi dari pihak notaris terkait apabila pemilik utama telah tiada. Selain itu seharusnya proses hibah dilakukan berdasarkan syariah dan undang-undang yang berlaku.


Surat Pernyataan Dan Persetujuan Ahli Waris Pdf

Contoh Surat Permohonan Penetapan Ahli Waris Pengadilan Download Contoh Surat Permohonan Penetapan Ahli Waris Pengadilan Download format surat lain.

. Surat pernyataan hak mewarisahli waris adalah surat yang dibuat olehdi hadapan pejabat yang berwenang yang isinya menerangkan tentang keadaan yang meninggal dunia dan siapa saja ahli waris dari seseorang yang sudah meninggal dunia serta. Waris yang tidak dapat hadir boleh kemukakan surat persetujuan borang dda. Surat perjanjian dan persetujuan ahli waris untuk wakaf.

Surat Pernyataan Ahli Waris Foto. Contoh Surat Resmi dan Cara Membuatnya. Surat kuasa tanah ahli waris kepengurusan.

Jika dalam proses jual beli tanah biasa pihak penjual adalah pemilik yang namanya tercantum dalam sertifikat tanah sementara dalam kasus harta. Surat Pernyataan Persetujuan Ahli Waris. Tempat Tanggal Bulan Tahun.

Demikianlah surat pernyataan ini saya buat dengan sebenar-benarnya untuk dapat dipergunakan sesuai dengan keperluan ahli waris. Tinjauan Hukum Terhadap Penjualan Warisan Oleh Ahli Waris Tanpa. Contoh Surat Jual Beli Rumah Warisan.

Pexels Alena Darmel Sebelum memproses pernikahan ada banyak dokumen yang harus diurus. Download Contoh Surat Ahli Waris Yang Benar Format 1653 x 2339 Blog Kita Punya Contoh Surat Persetujuan Ahli Waris Format 1200 x 1600 pixel Download Blog Kita Punya Contoh Surat Persetujuan. Tanah dan rumah warisan tersebut sudah secara mutlak dijual oleh PIHAK PERTAMA kepada PIHAK KEDUA dengan persetujuan dari seluruh ahli waris serta saksi dengan harga Rp_____ _____.

0 penilaian 0 menganggap dokumen ini bermanfaat 0 suara 112 tayangan 2 halaman. SURAT PERNYATAAN PERSETUJUAN PEMBAGIAN HARTA WARISAN. June 28 2020 by Nurul Saputro.

Cara Membuat Magnet Batang. Admin blog Kumpulan Surat Penting juga mengumpulkan gambar-gambar lainnya terkait surat persetujuan ahli waris menjual tanah dibawah ini. Salinan surat persetujuan waris yang telah ditandatangani di.

Seperti melakukan pelengkapan surat persetujuan dari ahli waris pemberi hibah. Demikian kami adalah para ahli waris dari mendiang. By Ananda 3 bulan yang lalu.

Contoh Surat Persetujuan Orang Tua Untuk Menikah. Contoh Surat Perjanjian Jual Beli Tanah Rumahcom. Bertindak untuk dan atas nama diri sendiri selaku ahli waris almarhum Fullan dengan ini secara bersama-sama menyatakan setuju secara mufakat memberikan hak perwalian anakahli waris almarhum Herryadi dibawah umur yang bernama.

Demikian Surat Keterangan dan Pernyataan Ahli Waris ini kami buat dengan sebenarnya diatas kertas bermaterai cukup dalam keadaan sehat jasmani dan rohani tanpa ada tekanan maupun paksaan dari siapapun. Agar lebih mudah memahami mengenai surat. Ini adalah contoh borang a peraturan 31 bagi permohonan surat kuasa mentadbir di bawah.

Almarhum tidak mempunyai anakketurunanakhli waris yang lain selain nama dan atau nama-nama sebagaimana tersebut diatas. Cara Membuat Surat Hibah Tanah. Dalam hal ini bertindak untuk dan atas nama ahli waris dari alm.

Atau boleh dikatan bahwa surat yang diberikan oleh pemilik warisan kepada ahli waris. Ahli waris tersebut yaitu. 3 Contoh Surat Pernyataan Ahli Waris sebagai Referensi.

Demikian surat kuasa ini dibuat agar dipergunakan sebagaimana. Ketika membuat surat kesepatakan bersama maka kedua belah pihak yang terlibat harus saling setuju dengan isi surat tersebut. Simpan Simpan Surat Pernyataan Persetujuan Ahli Waris Untuk Nanti.

3 tahun 2006 tentang perubahan atas uu no. Contoh Proposal Skripsi Beserta Cara Membuatnya. Contoh surat kuasa ahli waris bankdocx.

Yang dimaksud dengan ahli waris ini merupakan keluarga atau orang yang mempunyai. Contoh SURAT PERNYATAAN AHLI WARIS Yang bertandatangan di bawah ini kami adalah para waris dari Alm. Cara Membuat Stiker Tempel.

Untuk bisa lebih memahami tentang surat jual beli rumah simak contohnya sebagai berikut. Rab Ape Dekonsentrasi 2015. Hal ini agar pernikahan Anda nantinya legal dan.

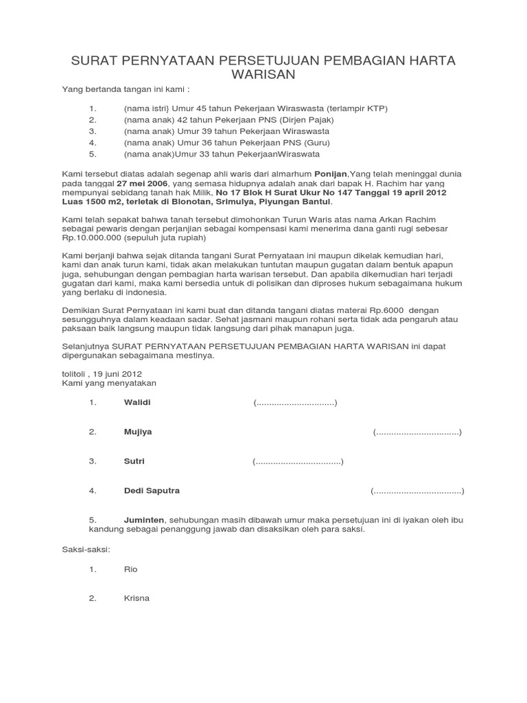
Kami tersebut diatas adalah segenap ahli waris dari almarhum PonijanYang telah meninggal dunia pada tanggal 27 mei 2006 yang semasa hidupnya mempunyai sebidang tanah hak Milik No 17 Blok H Surat Ukur No 147 Tanggal 19 april 2012 Luas 1500 m2 terletak di Blonotan Srimulya. Apabila dikemudian hari keterangan kami para ahli waris tidak benar sehingga terjadi gugatan dari pihak lain maka sepenuhnya menjadi tanggung jawab kami sedangkan aparat pemerintah yang turut menandatangani Surat Keterangan Ahli Waris ini dibebaskan dari. Saya adalah orang yang menuntut mempunyai kepentingan dalam harta pusaka tersebut sebagai.

59 Free Download Contoh Surat Persetujuan Ahli Waris Untuk Menjual. Pemberian hak wali ini guna mengurus kepentingan. Contoh Surat Kesepakatan Bersama Surat kesepakatan bersama merupakan salah satu dari jenis surat yang sering kali digunakan dalam dunia bisnis.

Surat ahli waris adalah sebuah surat yang mana menerangkan bahwa seseorang tersebut benar ahli waris. Contoh Surat Persetujuan Ahli Waris Menjual Tanah - 2 - Hak atas harta waris tidak terbatas pada hak atas bidang tanah. Surat ini dibutuhkan agar pernikahan Anda nantinya legal dan masuk catatan sipil.

Contoh Surat Persetujuan Ahli Waris Tanah Contoh Surat Perjanjian Jual Beli Tanah Warisan. Download Contoh Surat Persetujuan Ahli Waris di sini. SURAT PERNYATAAN PERSETUJUAN AHLI WARIS.

Download Contoh Surat Ahli Waris yang Benar. Notaris setempat atau dibuat surat persetujuan dalam bentuk akta.


Surat Pernyataan Persetujuan Pembagian Harta Warisan Ahli Waris Alm Pdf


Surat Persetujuan Ahli Waris Pdf


Surat Persetujuan Ahli Waris Yuniar Pdf


Doc Surat Pernyataan Penjualan Rumah Waris Happy Happydevianasari Academia Edu

No comments for "Contoh Surat Persetujuan Waris"